
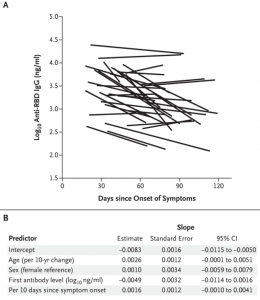
A recent correspondence in NEJM shows that antibodies to SAR-CoV-2 wane rapidly in mild disease, raising the question around the durability of potential protective immunity. Blood samples were analysed longitudinally in 30 patients with mild disease from 37 days after the onset of symptoms to a mean of 86 days (ranging from 44 to 119 days). Infections were confirmed using RT-PCR in 30 of the 34 pariticipants. IgG concentrations were quantified using an adapted enzyme-linked immunosorbent assay (ELISA), that detected concentrations of anti–SARS-CoV-2 spike receptor-binding domain IgG. Using linear regression models the estimated half-life was approximately 36 days (range of 26 to 60 days).
Journal Article: Ibarrondo et al., 2020. Rapid Decay of Anti–SARS-CoV-2 Antibodies in Persons with Mild Covid-19. NEJM
Summary by Clive Gray