
Safety and immunological results from the phase 1 COVID-19 trial testing, the candidate vaccine mRNA-1273, were published in NEJM on 14th July. mRNA-1273 is a lipid nanoparticle–encapsulated, nucleoside-modified messenger RNA (mRNA)– based vaccine that encodes the SARS-CoV-2 spike (S) glycoprotein stabilized in its prefusion conformation. The phase 1 clinical trial, which aimed to determine the safety profile of mRNA-1273 began in March 2020 (66 days after the genomic sequence of the virus was posted). Overall vaccination with mRNA-1273 did not result in severe side-effects, however, the frequency of side effects correlated with vaccine antigen concentration.
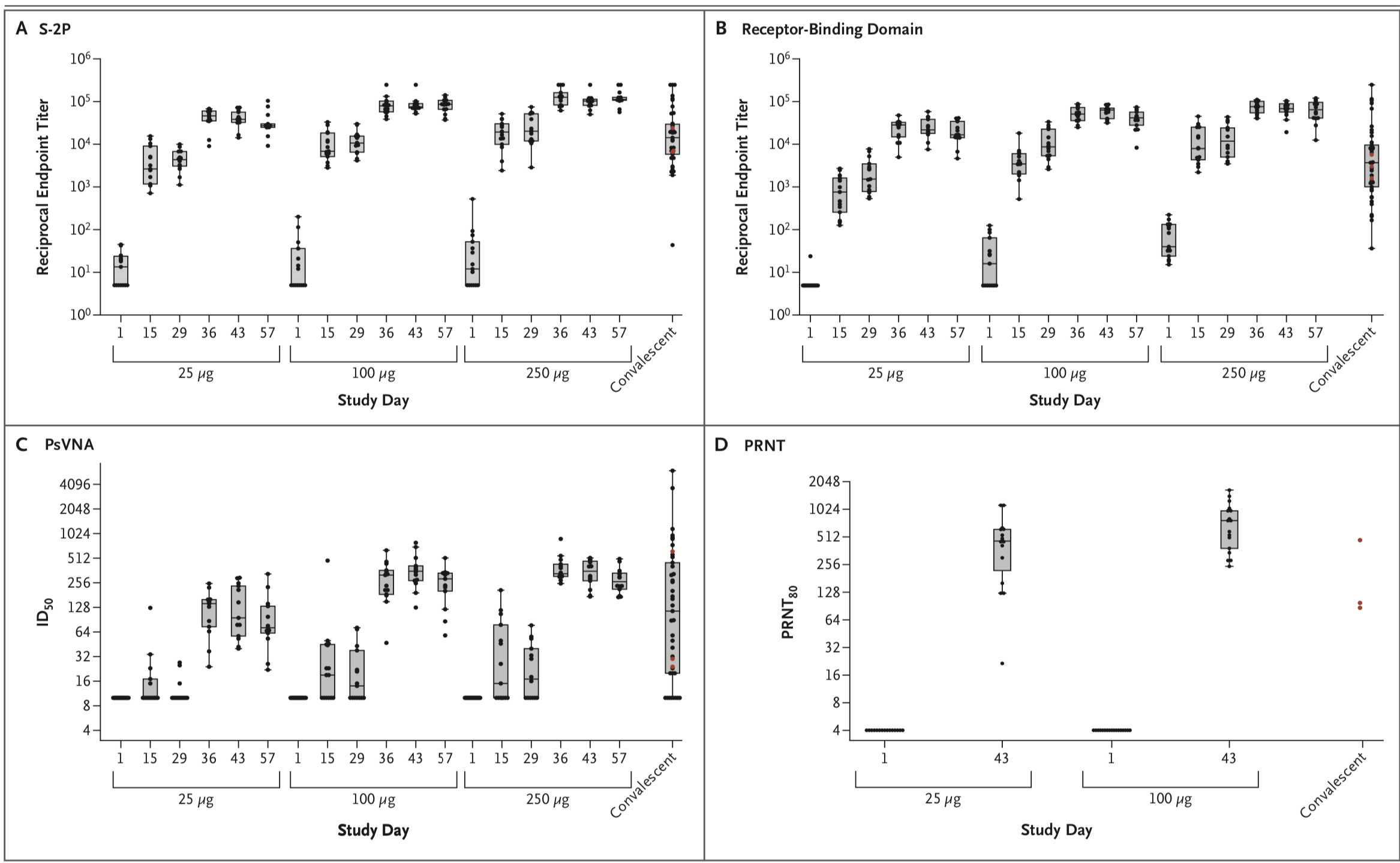
Researchers reported rapid seroconversion, within 15 days of the first vaccination dose in all participants. However, only vaccination with highest doses (100μg and 200μg) resulted in induction of vaccine-induced spike-protein specific antibodies at similar magnitudes as those observed in convalescent samples. Additionally, they showed that induction of robust neutralising antibody titres, with neutralisation capacity as those observed in convalescent samples, required two vaccination doses. Lastly, they showed that mRNA-1273 induced robust spike-protein-specific CD4 T cells responses, which predominantly produced Th1 associated cytokine responses, but very low levels of vaccine-specific CD8 T cells responses.
In summary, results from the phase 1 mRNA-1273 vaccine trial, though preliminary, clearly indicate that the mRNA-1273 vaccine is safe and immunogenic. Warranting further investigation in a phase 2 trial, which has already began, NCT04405076.
Journal Article: Jackson et al., 2020. An mRNA Vaccine against SARS-CoV-2 — Preliminary Report. NEJM
Summary by Cheleka AM Mpande